|
ЗАТВЕРДЖЕНО Наказ Державного комітету статистики України 29.12.2010 № 536 |
Методика формування вибіркової сукупності звітних одиниць у структурному обстеженні малих підприємств
Передмова
Перехід України до ринкових відносин вимагає нових підходів до проведення статистичних спостережень, одним із яких є широке впровадження вибіркового методу обстежень. Вибіркові спостереження малих підприємств забезпечать, по-перше, отримання інформації щодо соціально-економічних характеристик сектору малого бізнесу, по-друге, проведення аналізу діяльності малих підприємств України у відповідності з міжнародними стандартами, а також потребами користувачів інформації всіх рівнів.
Основними причинами використання вибіркового методу для спостереження за діяльністю підприємств є:
– виникнення значної кількості малих підприємств, що унеможливлює отримання повної та достовірної інформації щодо їхньої діяльності в стислі терміни та потребує мінімізації зростаючого навантаження на органи державної статистики;
– нагальна потреба оптимізації навантаження на самі підприємства-респонденти;
– відносно мала частка обсягу реалізованої продукції малих підприємств у порівнянні з середніми та великими.
Розроблення методології вибіркового обстеження в структурній статистиці розпочалося у 2002 році, і застосовувались ці розробки спочатку для проведення піврічних обстежень. Щодо річного структурного обстеження, то його проводили суцільним чином, і лише за 2007 рік вперше було проведено пробне вибіркове обстеження, а за 2008 – повноцінне річне вибіркове обстеження. В основу цих обстежень була покладена методологія згадуваного піврічного вибіркового обстеження. Зокрема формування вибіркової сукупності відбувалось відповідно до "Методики формування вибіркової сукупності звітуючих одиниць в обстеженні малих підприємств", затвердженої наказом Держкомстату України від 13.08.2003 № 263. Проте значний розвиток методології вибіркових обстежень підприємств у останні роки, а також певні відмінності піврічного та річного спостережень малих підприємств, зумовили перегляд останньої методики, в результаті чого і з’явилась ця методика.
Об’єктом дослідження є результати діяльності малих підприємств.
Предметом цієї методики є визначення основи вибірки, розроблення її дизайну та відбір одиниць для безпосереднього обстеження в структурному спостереженні малих підприємств.
Основні визначення та терміни
Активне підприємство здійснює економічну діяльність: має найманих працівників чи здійснює реалізацію продукції, робіт, послуг за даними державних статистичних спостережень (включаючи фінансову звітність) або адміністративних джерел.
Вибіркова сукупність (вибірка) – сукупність статистичних одиниць, відібраних за певними правилами з генеральної сукупності для проведення статистичного спостереження.
Вибірковий метод – система правил відбору одиниць у вибірку і способів характеристики сукупності обстежених одиниць. Вибірковий метод дає змогу розповсюдити висновки, отримані на основі вивчення частини сукупності (вибірки) на всю сукупність (генеральну).
Генеральна сукупність (основа вибірки) – сукупність усіх активних статистичних одиниць із заданими характеристиками, які планується вивчити й досліджувати при проведенні статистичного спостереження у наступному році.
Дизайн вибірки – організаційно-логічна модель структури вибіркової сукупності та принципи її формування. Якість плану вибірки значною мірою визначає репрезентативність вибіркової сукупності, отриманої за визначеними у плані правилами.
Кількість найманих працівників (середня кількість працівників) визначають з урахуванням середньооблікової кількості штатних працівників, середньої кількості зовнішніх сумісників і середньої кількості працюючих за цивільно-правовими договорами.
Нетипові одиниці – одиниці спостереження, для яких значення цільової ознаки (у структурному спостереженні малих підприємств – обсягу реалізованої продукції) перевищує рівень порогу, встановленого для певної сукупності (страти) законодавчо або експертним шляхом, виходячи зі співвідношення цільової ознаки зі змінною стратифікації.
Обсяг вибірки – кількість одиниць спостереження у вибірковій сукупності.
Обсяг реалізованої продукції (робіт, послуг) визначають за ціною продажу відвантаженої за межі підприємства готової продукції (виконаних робіт, послуг), що зазначена в оформлених як підстава для розрахунків із покупцями (замовниками) документах (уключаючи продукцію (роботи, послуги) за бартерним контрактом), за винятком непрямих податків (ПДВ, акцизного збору тощо).
Одиниця відбору – складовий елемент (одиниця) генеральної сукупності (для структурного обстеження малих підприємств), які послідовно відбирають і формують вибіркову сукупність. Для деяких інших спостережень одиницею відбору може бути група одиниць генеральної сукупності. Одиниця відбору за своїми розмірами не повинна бути меншою одиниці спостереження, оскільки це призводить до систематичної похибки репрезентативності.
Одиниця статистичного спостереження – первинний елемент об’єкта статистичного спостереження, який є носієм ознак, що підлягають реєстрації у ході статистичного спостереження.
Ознаки одиниці статистичного спостереження – властивості, які відображають сутність, характер та особливості одиниці статистичного спостереження.
Похибка вибірки (репрезентативності) – похибка, яка виникає через те, що обстежено не всю генеральну сукупність, а тільки її частину. Її величина залежить від того, які елементи генеральної сукупності потраплять до вибірки, тобто від виду та способу відбору, а також від обсягу вибірки.
Простий випадковий відбір – відбір одиниць у вибіркову сукупність, під час якого ще до його здійснення кожна одиниця основи вибірки має визначену, заздалегідь задану (найпростіше – однакову) імовірність бути включеною до вибірки.
Репрезентативна (представницька) вибірка – вибірка, структура якої адекватно відображає структуру генеральної сукупності, внаслідок чого вона повно та адекватно представляє досліджувані ознаки генеральної сукупності.
Систематичний відбір – відбір одиниць у вибіркову сукупність, суть якого полягає в тому, що одиниці відбирають через певний інтервал (крок відбору).
Стратифікація – процес розподілення основи вибірки на однорідні групи (страти). Застосовують при формуванні вибірки з неоднорідної сукупності. Страти утворюють таким чином, щоб одиниці всередині кожної з них були якнайбільш схожими між собою (мали невелику або помірну варіацію всередині групи).
Стратифікована вибірка – вибірка, що передбачає попередній розподіл основи вибірки на однорідні групи (страти) і відбір із кожної з них певної кількості одиниць. Стратифікована вибірка рівнозначна ряду випадкових вибірок із менших сукупностей (страт), якщо в кожній із них одиниці відбирають випадковим порядком. Відбір одиниць у кожній із утворених страт виконують за допомогою простого випадкового або систематичного відбору.
|
ЄДРПОУ |
– Єдиний державний реєстр підприємств та організацій України; |
|
КВЕД |
– Класифікація видів економічної діяльності (Національний класифікатор ДК 009:2005); |
|
КОАТУУ |
–
Класифікатор об’єктів адміністративно-територіального устрою України |
|
КОПФГ |
–
Класифікація організаційно-правових форм господарювання (Державний |
|
СОМП |
– структурне обстеження малих підприємств; |
|
РСО |
– реєстр статистичних одиниць. |
Перелік позначень
|
|
– кількість одиниць у генеральній сукупності; |
|
|
– кількість одиниць у вибірці, обсяг вибірки; |
H |
– кількість страт; |
|
|
– номер страти; |
|
|
– розмір генеральної сукупності у стратi h; |
|
|
– кількість одиниць вибірки у стратi h; |
|
|
– значення обсягу реалізованої продукції для i-тої одиниці в страті h; |
|
|
– середнє значення обсягу реалізованої продукції в страті h; |
|
|
– середньоквадратичне відхилення обсягу реалізованої продукції в страті h; |
|
w |
– вибіркова вага; |
|
|
– коефіцієнт варіації. |
1. Загальні положення
Структурне обстеження малих підприємств - суб’єктів господарювання (СОМП) – це державне статистичне спостереження, яке здійснюється на постійній основі з річною періодичністю, базується на загальноприйнятих міжнародних стандартах і відповідає сучасній економічній ситуації в Україні.
Метою структурного обстеження підприємств є отримання інформації про економічний стан, господарську діяльність підприємств для аналізу структури економіки країни (регіону), забезпечення інформаційних потреб системи національних рахунків, Реєстру статистичних одиниць.
Статистичну інформацію щодо діяльності підприємств (зокрема малих), отриману зі структурних спостережень, використовують як зовнішні, так і внутрішні користувачі.
Структурне спостереження підприємств поєднує два види спостережень: суцільне та вибіркове. На вибірковій основі обстежують малі підприємства, що звітують за формою № 1-підприємництво (коротка) "Звіт про основні показники діяльності підприємства".
Метою вибіркового обстеження, зокрема малих підприємств, є отримання інформації по вибірковій сукупності та поширення її на всю генеральну сукупність.
Одиницею спостереження є підприємство.
Розмір підприємства – мале підприємство згідно з чинним законодавством.
Критерії формування сукупності звітних одиниць СОМП: охоплюються активні підприємства таких видів економічної діяльності: секції від "А" до "О" за КВЕД за винятком секції "L" та видів діяльності 62.30.0 секції "I", 65.11.0, 65.12.0 секції "J", 91.11.0-91.33.0 секції "О" та організаційно-правових форм господарювання за КОПФГ: 120-193, 200-270, 300, 310, 330, 340, 500-590, 900, 915-940.
Географічне охоплення СОМП: економіка України загалом і в розрізі кожного з 27 регіонів України за КОАТУУ.
Оприлюднення даних СОМП відбувається за такими рівнями та розрізами: національний рівень (Україна в цілому), регіональний рівень (за регіонами України), види економічної діяльності (на рівні розділів та груп КВЕД).
Формування вибіркової сукупності полягає у визначенні за спеціально розробленими науково обґрунтованими процедурами частини генеральної сукупності, обстеження якої дозволяє отримати репрезентативну та надійну інформацію щодо досліджуваних в обстеженні (цільових) ознак генеральної сукупності.
Цільовими ознаками СОМП є такі показники, як обсяг реалізованої продукції (робіт, послуг), кількість найманих працівників.
Формування вибіркової сукупності можна розділити на такі етапи:
- визначення основи вибірки;
- побудова дизайну вибірки;
- обчислення обсягу вибірки;
- відбір одиниць для безпосереднього обстеження.
Інформаційним джерелом при формуванні вибіркової сукупності є статистичний реєстр підприємств.
2. Визначення основи вибірки
Генеральна сукупність малих підприємств є частиною генеральної сукупності звітних одиниць міжгалузевої статистики підприємств, яка формується на державному рівні на підставі статистичного реєстру підприємств, річного та квартального структурного обстеження та річної та квартальної фінансової звітності.
Мале підприємство є одиницею спостереження й одиницею відбору, а тому основа вибірки співпадає з генеральною сукупністю.
Формування основи вибірки здійснюється щорічно в грудні звітного року. Схема формування основи вибірки звітних одиниць наведена на рис. 2.1.
До основи вибірки належать:
− сукупність підприємств тих видів економічної діяльності, які обстежують на суцільній основі (це спричинено неможливістю отримати надійні показники за цими видами економічної діяльності) (табл. А.1 додаток А);
− основна сукупність: підприємства, які в попередньому до звітного році мали ненульовий обсяг реалізованої продукції або кількість найманих робітників (окрім зазначених вище видів економічної діяльності). До цієї сукупності не включаються підприємства, які мали нульові обсяги реалізованої продукції та кількість найманих працівників – 1−2 особи, а також новостворені;
− незначні підприємства: підприємства, які в попередньому до звітного році або у звітному році мали нульові обсяги реалізованої продукції та 1−2 особи або нульову кількість найманих працівників;
− новостворені у звітному році підприємства.
Зазначаємо, що виділення незначних підприємств в окрему групу спричинене особливостями їхньої поведінки в обстеженні.

Рис. 2.1. Схема визначення основи вибірки для обстеження малих підприємств
У результаті виконання робіт із визначення основи вибірки отримують перелік малих підприємств, які задовольняють усі критерії відбору одиниць, із основними ознаками, необхідними для формування вибіркової сукупності (табл. 2.1). Значення вказаних ознак відбирають із наведених вище інформаційних джерел.
Таблиця 2.1
Перелік ознак, необхідних для формування вибіркової сукупності малих підприємств
|
№ № з/п |
Ознака |
|
1 |
Ідентифікаційний код підприємства (за ЄДРПОУ) |
|
2 |
Територія (за КОАТУУ) |
|
3 |
Основний вид економічної діяльності (за КВЕД) |
|
4 |
Код організаційно-правової форми господарювання (за КОПФГ) |
|
5 |
Обсяг реалізованої продукції за останній рік, що передує звітному |
|
7 |
Середньооблікова кількість штатних працівників облікового складу за останній рік, що передує звітному |
|
8 |
Середня кількість позаштатних працівників (працюючі за договорами та зовнішні сумісники) за останній рік, що передує звітному |
Приклад визначення основи вибірки для структурного обстеження малих підприємств за даними 2009 року наведено у додатку Г.
3. Побудова дизайну вибірки
Аналіз цільових ознак обстеження свідчить, що генеральна сукупність малих підприємств є неоднорідною за цими ознаками. Тому для отримання репрезентативної вибірки використовують стратифіковану вибірку, яка полягає в попередньому розподіленні основи вибірки на більш однорідні групи (страти) та відборі з кожної з них певної кількості одиниць для безпосереднього обстеження.
Побудова дизайну стратифікованої вибірки передбачає:
− стратифікацію сукупності підприємств;
− виявлення нетипових одиниць у стратах;
− об’єднання малих страт.
Першим етапом формування вибіркової сукупності є стратифікація (розшарування, групування). При цьому слід відзначити, що для кожної одиниці спостереження значення ознаки, за якою здійснюють стратифікацію, повинно бути присутнім у основі вибірки і актуалізуватись незалежно від того, чи були дані підприємства відібрані до вибіркової сукупності.
Стратифікацію одиниць спостереження основи вибірки здійснюють за основними та додатковими критеріями на відповідне число страт.
Визначення основних критеріїв стратифікації проведено із застосуванням однофакторного дисперсійного аналізу. Із використанням лінійного регресійного аналізу досліджено зв’язок між основними характеристиками підприємств малого бізнесу: обсягом реалізованої продукції та кількістю найманих працівників.
Факторний аналіз дозволяє знижувати розмірність простору вхідних змінних та проводити класифікацію вимірюваних ознак та досліджуваних об’єктів у просторі головних компонент. За методом факторного аналізу була опрацьована структура підприємств за видами економічної діяльності для інтерпретації розподілу підприємств за регіонами України.
Отже, на першому етапі формування вибіркової сукупності за результатами статистичного аналізу генеральної сукупності методами однофакторного дисперсійного, регресійного та факторного аналізу визначено основні та додаткові критерії стратифікації (розшарування).
Стратифікація підприємств
Стратифікація відбувається окремо для основної сукупності, незначних і новостворених підприємств.
Основна сукупність
Стратифікацію генеральної сукупності підприємств цієї сукупності проводять за такими критеріями:
1) основний вид економічної діяльності;
2) розмір підприємства (визначають за кількістю найманих працівників);
3) територіальна належність підприємства.
За результатами описаного вище дослідження основними критеріями стратифікації є вид економічної діяльності та розмір підприємств, додатковим – регіональна ознака.
За видом економічної діяльності виділено 60 груп, за кількістю найманих працівників – 4 групи. Враховуючи те, що стратифікація за 27 регіонами в поєднанні з видом економічної діяльності дає значну кількість дрібних страт, які в свою чергу не є більш однорідними, виконують об’єднання регіонів у 6 регіонально-локальних груп. При формуванні цих груп враховують структуру сукупності за обсягом реалізованої продукції за видами економічної діяльності за регіонами та кількість підприємств генеральної сукупності за регіонами.
Розшарування класифікаційних ознак кожного показника стратифікації наведено в додатку А.
При стратифікації кожному підприємству присвоюють код страти, до якої воно належить. Код страти має таку структуру:
XX(XXX)YZ, де:
XX(XXX) – основний вид економічної діяльності
(введене позначення для розділів
(груп) за КВЕД);
Y – код локально-регіональної групи;
Z – код групи за розміром підприємства.
Після формування страт файл, в якому міститься основна сукупність, агрегується за кодом страти, після чого для страт визначають такі показники (для обсягу реалізованої продукції): мінімальне, максимальне та середнє значення, середньоквадратичне відхилення, коефіцієнт варіації, а також кількість підприємств у страті. Зауважимо, що обсяг реалізованої продукції має значення лише для тієї частини одиниць основи, які потрапили у вибірку в попередньому до звітного році. Для решти одиниць пропуски заповнюють значеннями взаємопов’язаних показників із фінансової звітності.
У статистичній практиці розвинених країн щодо вибіркових обстежень підприємств прийнято, що коефіцієнт варіації ознаки не повинен перевищувати 3. Для зниження коефіцієнта варіації виконують процедури виявлення нетипових підприємств.
Новостворені та незначні підприємства
Для новостворених і незначних підприємств стратифікацію проводять за основним видом економічної діяльності.
Виявлення нетипових підприємств
Значний вплив на зменшення розміру похибки вибірки має виявлення нетипових підприємств та розміщення їх в окремій страті для подальшого обстеження на суцільній основі. Виявлення нетипових підприємств здійснюють тільки в основній сукупності та виконують двічі: перший раз – одразу після стратифікації, вдруге – після об’єднання страт.
Для виявлення нетипових підприємств підприємства у кожній страті розміщують у порядку спадання обсягу реалізованої продукції з подальшою оцінкою їх значень математичним, графічним (ящичкові діаграми) та експертним методами.
Математичний метод
Нетиповими вважають підприємства, для яких значення обсягу реалізованої продукції потрапляє за межі інтервалу:
|
|
|
(3.1) |
де:
–
значення обсягу реалізованої продукції для i-ої одиниці в страті h;
–
середнє значення обсягу реалізованої продукції в страті h;
–
середньоквадратичне відхилення обсягу реалізованої продукції в страті h.
Графічний метод використовують як допоміжний при проведенні експертної оцінки значень цільової ознаки (обсягу реалізованої продукції). Графік типу "box-plot" будують для кожної страти окремо. На ньому видно всі "викиди" значень цільової ознаки.
Нетипові підприємства групують в окрему страту за кожним видом економічної діяльності. Такі страти називаються нетиповими. Нетипові одиниці обстежують на суцільній основі (тобто ймовірність їх включення у вибірку дорівнює одиниці).
Нетиповим стратам надають особливе позначення: їх коди мають вигляд XX(ХХX)00.
При виділенні нетипових підприємств спочатку застосовують математичний метод, після чого знову формують агрегований файл із вищевказаними статистичними показниками для перевірки коефіцієнта варіації цільової ознаки в кожній страті. Якщо коефіцієнт варіації в страті є більшим за 3, то необхідно продовжити виділення нетипових підприємств експертним і графічним методами.
Проте кількість нетипових підприємств не може бути дуже великою. Експертним шляхом встановлено, що загальна кількість підприємств, які обстежують на суцільній основі, не повинна перевищувати 12% вибіркової сукупності.
Приклад виявлення нетипових одиниць наведено у додатку Д.
Об’єднання страт
Страти, в яких менше 10 одиниць, вважають малими та обстежують суцільно. Підприємства основної сукупності за винятком нетипових підприємств і малих страт будемо називати основною підсукупністю.
Оскільки наявність малих страт призводить до збільшення обсягу вибірки, намагаються зменшити їхню кількість шляхом об’єднання. Для цього для кожної з отриманих страт аналізують їхні показники, враховуючи економічні особливості та тенденції розвитку певних видів економічної діяльності та регіонів. Об’єднання проводять як за локально-регіональними групами, так і за розміром підприємств у межах одного виду економічної діяльності. Об’єднанню підлягають страти з близькими середніми за умови, що коефіцієнт варіації об’єднаної страти буде нижчим за максимальний із двох об’єднуваних страт.
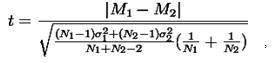
Для виявлення схожих регіонів застосовують t-критерій для незалежних вибірок. Процедура t-критерію для незалежних вибірок порівнює середні значення для двох груп спостережень. Реалізація цієї процедури відбувається стандартними засобами пакету обробки статистичних даних SPSS (Independent - Samples T - Test).
За даними, отриманими за допомогою цього критерію, можна зробити висновок щодо того, чи значно відрізняються характеристики однієї страти від іншої, а отже, показники однієї локально-регіональної групи від іншої. Якщо з економічної точки зору можливо об’єднати регіони та t-критерій підтвердив ідентичність середніх, приймається рішення про об’єднання двох регіонів у один.
Таким чином, об’єднання виконують як для зменшення кількості страт, так і для зниження коефіцієнта варіації.
Об’єднання страт проводять поступово, передусім об’єднуються страти в межах одного виду економічної діяльності та локально-регіональної групи (тобто ті, що відрізняються лише групою за розміром підприємств), потім ті страти, що відрізняються територіальною приналежністю (в межах одного виду економічної діяльності та групи за розміром). Тобто для страт, закодованих як XX(ХХХ)YZ, об’єднання відбувається спочатку за Z, а потім за Y (якщо виконуються умови об’єднання). При об’єднанні код об’єднаної страти дорівнює коду однієї з об’єднуваних страт.
Після об’єднання проводять повторну агрегацію основної підсукупності з повторним розрахунком статистичних показників для всіх страт. На цьому етапі виконують остаточне виявлення нетипових одиниць.
Малі страти та нетипові підприємства повинні міститись у окремому файлі, оскільки їх обстежують із імовірністю 1 (тобто суцільно).
Приклад об’єднання страт наведено у додатку Е.
4. Обчислення обсягу вибірки
Обчислення загального обсягу вибірки
За результатами досліджень із урахуванням оцінок точності параметрів загальний обсяг вибіркової сукупності не повинен перевищувати 20% від обсягу генеральної сукупності.
Загальний обсяг вибірки складають:
− підприємства тих видів економічної діяльності, які обстежують суцільно (100%);
− нетипові підприємства та малі страти (100%);
− 3% підсукупності незначних підприємств;
− 10% підсукупності новостворених підприємств;
− приблизно 25% підприємств основної підсукупності.
Відсоток відбору з основної підсукупності розраховують за різницею максимально допустимого загального обсягу вибірки СОМП і суми обсягів вибірок із інших підсукупностей.
Приклад обчислення загального обсягу вибірки для структурного обстеження малих підприємств за даними 2009 року наведено у додатку Ж.
Обчислення обсягу вибірки за стратами
Кількість підприємств у вибірці за стратами визначаємо відповідно до алгоритму оптимального розміщення Неймана:
|
|
|
(4.1) |
де:
–
обсяг вибірки зі страти h,
–
кількість одиниць у страті h,
–
середньоквадратичне відхилення обсягу реалізованої продукції в страті
h.
Тобто, розмір вибірки у страті
повинен
бути пропорційним
.
У деяких випадках формула дає
. Тоді
розмір вибірки у страті
дорівнює
розміру сукупності у страті
:
.
Надлишкову кількість одиниць розподіляємо на інші страти з розміром вибірки.
Приклад
обчислення обсягу вибірки за стратами із застосуванням розміщення Неймана
наведено у додатку Л.
Розподілення "резерву"
Передусім обсяг вибірки для основної підсукупності підприємств поділяють на дві частини: 90% – для розподілення за стратами на основі визначеного розміщення, 10% – "резерв". "Резерв" – це кількість одиниць вибірки, які використовують для коригування розмірів вибіркових страт. Ця процедура необхідна для упорядкування кількості підприємств у стратах вибірки, що пов’язано передусім із високим відсотком неотримання відповідей у ході вибіркового обстеження, що для малочисленої страти є суттєвим при поширенні її даних на генеральну сукупність.
Після застосування оптимального розміщення Неймана відбувається розподілення "резерву" у ручний спосіб. Зауважимо, що при обчисленні обсягу вибірки округлення завжди відбувається в бік збільшення.
При розподіленні "резерву" необхідно враховувати таке:
· Для кожної страти кількість одиниць у вибірці має бути не менше 10 (для незначних та новостворених підприємств – 5).
· Розмір вибірки в страті коригують на відсоток невідповідей (за результатами попередньо проведеного обстеження), а саме збільшують (зменшують) при високому (низькому) значенні відсотку невідповідей.
· Розмір вибіркових страт коригують залежно від статистичних характеристик, а саме збільшують (зменшують) у стратах із високим (низьким) показником варіації при незмінному загальному розмірі вибіркової сукупності.
· Для кожної групи за видом економічної діяльності та локально-регіональної групи у вибірці необхідно дотримуватися наступного співвідношення між вагами страт залежно від групування за кількістю найманих працівників:
|
|
w1 ≥ w2 ≥ w3 ≥ w4, |
(4.2) |
де w1, w2, w3, w4 – вага підприємства відповідно у першій, другій, третій і четвертій групі малих підприємств за кількістю найманих працівників.
Приклад визначення "резерву" при обчисленні обсягу вибірки для основної підсукупності за даними 2009 року наведено у додатку К.
5. Принципи формування переліку одиниць для обстеження
Вибіркова сукупність формують із кожної вищевказаної складової основи вибірки окремо.
Формування вибіркової сукупності починають із визначення кроку відбору та початку відбору (перший елемент відбору). Крок відбору – це результат ділення обсягу генеральної сукупності на обсяг вибірки (по кожній страті):
|
|
step = N / n. |
(5.1) |
Для розрахунку першого елемента відбору спочатку розраховують змінну добутком кроку відбору на випадкове число. Випадкове число визначають за допомогою генератора випадкових чисел і воно приймає значення від 0 до 1:
|
|
k = step*rnd. |
(5.2) |
Перший елемент відбору визначають відповідно до змінної k. Якщо ця змінна більше або дорівнює одиниці, то вона буде вказувати на перший елемент відбору, якщо ця змінна менше одиниці, то перший елемент відбору визначають додаванням до цієї змінної кроку відбору:
|
|
|
(5.3) |
Перед початком відбору виконують упорядкування елементів страти за територіальною ознакою, а для основної підсукупності – і за обсягом реалізованої продукції.
Нетипові підприємства, малі страти та підприємства з окремими попередньо визначеними видами економічної діяльності обстежують суцільно.
Порядок формування вибіркової сукупності малих підприємств із застосуванням алгоритму оптимального розміщення Неймана наведено у додатку Б. Приклад формування переліку одиниць для обстеження у конкретній страті наведено у додатку М.
Список використаних джерел
1. Бокун Н.Ч., Чернышева Т.М. Методы выборочных обследований: [учебно-справочное пособие] / Бокун Н.Ч. − Мн. : НИИ статистики Министерства статистики и анализа республики Беларусь, 1997. – 416 с.
2. Васєчко О.О. Методологічні засади статистики підприємств. / Васєчко О.О. [Монографія] – К. : Держкомстат України, 2005. – 296 с.
6. Кокрен У. Методы выборочного исследования. / Кокрен У. – М. : Статистика, 1976. – 440 с.
8. Пархоменко В.М. Методи вибіркових обстежень: [навч. посібн.] / Пархоменко В.М. – К. : КНУ ім. Тараса Шевченка, 2001. – 148 с.
9. Положення про Реєстр статистичних одиниць та формування основ вибірки сукупностей одиниць статистичних спостережень за діяльністю підприємств (Наказ Держкомстату України від 16.12.2009 № 481).
11. Kalton G. Introduction to survey sampling. / Kalton G. – Beverly Hills: Sage, 1983. – 96 с.
12. Srndal C.E., Swensson B., Wretman J. Model assisted survey sampling. / Srndal C.E. – Berlin: Springer-Verlag. – 1992. – 694 с.
13. Kish L. Survey sampling. / Kish L. – Wiley Classics Library Edition, 1995. – 643 с.
Додаток А
Таблиця А.1
Стратифікаційні групи за КВЕД
|
Секція |
Розділ |
Позначення |
|
Секція |
Розділ |
Позначення |
|
А |
01 |
1 |
F |
45 |
45 |
|
|
А |
02 |
2 |
G |
50 |
50 |
|
|
B |
05 |
суцільне |
G |
51.1 |
511 |
|
|
C |
10,11,12,13 |
суцільне |
G |
51.2 |
512 |
|
|
C |
14 |
14 |
G |
51.3 |
513 |
|
|
DA |
15 |
15 |
G |
51.4 |
514 |
|
|
DA |
16 |
суцільне |
G |
51.5 |
515 |
|
|
DB |
17 |
17 |
G |
51.8 |
518 |
|
|
DB |
18 |
18 |
G |
51.9 |
519 |
|
|
DC |
19 |
19 |
G |
52 |
52 |
|
|
DD |
20 |
20 |
H |
55.1, 55.2 |
55 |
|
|
DE |
21 |
21 |
H |
55.3, 55.4, 55.5 |
56 |
|
|
DE |
22 |
22 |
I |
60 |
60 |
|
|
DF |
23 |
суцільне |
I |
61 |
суцільне |
|
|
DG |
24 |
24 |
I |
62 |
суцільне |
|
|
DH |
25 |
25 |
I |
63 |
63 |
|
|
DI |
26 |
26 |
I |
64 |
64 |
|
|
DJ |
27 |
суцільне |
J |
65 |
65 |
|
|
DJ |
28 |
28 |
J |
66 |
суцільне |
|
|
DK |
29 |
29 |
J |
67 |
67 |
|
|
DL |
30 |
суцільне |
K |
70 |
70 |
|
|
DL |
31 |
31 |
K |
71 |
71 |
|
|
DL |
32 |
32 |
K |
72 |
72 |
|
|
DL |
33 |
33 |
K |
73 |
73 |
|
|
DM |
34 |
суцільне |
K |
74 |
74 |
|
|
DM |
35 |
35 |
M |
80 |
80 |
|
|
DN |
36 |
36 |
N |
85 |
85 |
|
|
DN |
37 |
37 |
O |
90 |
90 |
|
|
E |
40 |
40 |
O |
92 |
92 |
|
|
E |
41 |
41 |
O |
93 |
93 |
Таблиця А.2
Стратифікаційні групи за кількістю найманих працівників
|
Кількість найманих працівників |
Код групи |
|
0 – 4 осіб |
1 |
|
5 – 9 осіб |
2 |
|
10 – 19 осіб |
3 |
|
20 – 50 осіб |
4 |
Таблиця А.3
Локально-регіональні групи малих підприємств
за їхньою територіальною належністю
|
Код групи |
Об’єкт КОАТУУ (область) |
|
1 |
12 - Дніпропетровська 14 - Донецька 23 - Запорізька 44 - Луганська 63 - Харківська |
|
2 |
01 - Автономна республіка Крим 32 - Київська 46 - Львівська 51 - Одеська 53 - Полтавська |
|
3 |
05 - Вінницька 35 - Кіровоградська 59 - Сумська 65 - Херсонська 68 - Хмельницька 71 - Черкаська |
|
4 |
07 - Волинська 56 - Рівненська 61 - Тернопільська 73 - Чернівецька 85 - м.Севастополь |
|
5 |
21 - Закарпатська 18 - Житомирська 26 - Івано-Франківська 48 - Миколаївська 74 - Чернігівська |
|
6 |
80 - м. Київ |
Додаток Б
Порядок формування вибіркової сукупності малих підприємств із застосуванням алгоритму оптимального розміщення Неймана
Для формування вибіркової сукупності необхідно виконати:
1. Обчислення
добутків кількості підприємств на стандартне відхилення в кожній страті

2. Розрахунок кількості одиниць вибірки зі страти h (формула 4.1).
3. Розрахунок ваги кожної страти wh.
4. Коригування кількості одиниць вибірки зі страти h з "резерву" з урахуванням додаткових умов здійснення відбору.
5. Відбір підприємств.
6. Формування вибіркової сукупності шляхом злиття відібраних підприємств із кожної підсукупності основи вибірки, а також підприємств, які за планом повинні обстежуватись на суцільній основі.
Основна підсукупність
Після розрахунку за розміщенням Неймана отримано змінну nh, яка відображає кількість підприємств у страті, запропоновану для вибіркового обстеження.
Якщо nh < 10, кількість підприємств вибіркової сукупності зі страти поповнюють із "резерву" до 10 підприємств: n2h = 10 - nh.
Далі визначають залишок резерву як різницю між його початковим значенням та сумою nh + n2h.
Наступний крок – збільшення кількості одиниць вибірки зі страти h за допомогою "резерву". При цьому необхідно враховувати внесок малих підприємств у загальні показники щодо обсягу реалізації та кількості найманих працівників за видами економічної діяльності, рівень невідповідей, коефіцієнт варіації, а також страти, де кількість підприємств генеральної сукупності менше 20.
Далі обчислюють ваги з урахуванням нової кількості підприємств із кожної страти у вибірковій сукупності та перевіряють наявність співвідношення (за формулою 4.2).
При порушенні співвідношення кількість підприємств у відповідній страті коригують за рахунок "резерву".
Для відбору підприємств формують такі розрахункові змінні.
Передусім
розраховують крок відбору підприємств у кожній страті за формулою 5.1.
Ця змінна (step) визначає, на скільки підприємств збільшується номер
наступного підприємства порівняно з попереднім.
Далі за допомогою функції UNIFORM визначають випадкове число, яке має рівномірний розподіл на проміжку від 0 до 1:
rnd =UNIFORM(0,1).
Після розрахунку rnd визначають порядковий номер підприємства у страті, з якого починають відбір. Спершу розраховують допоміжну змінну:
.
Після розрахунку змінної del виконують розрахунок номеру підприємства (змінна choіce), з якого починають відбір. Формули визначення змінної choіce наведені нижче:
якщо del <
1, то 
якщо del ≥
1, то 
Далі за допомогою синтаксису програмного продукту SPSS визначають номери підприємств для включення до вибіркової сукупності та виконують відбір підприємств.
Незначні та новостворені підприємства
На початку опрацювання цієї підсукупності формують агрегований файл, який включає номер страти Strt і кількість підприємств у страті N. Після утворення агрегованого файлу розраховують кількість підприємств, які мають бути відібраними з кожної страти (n1= 3%).
Для страт із n1 < 5 необхідно доповнити до п’яти підприємств (n2), за допомогою формули:
|
Для страт в яких N < 5; |
n2 = N – n1. |
|
Для страт, в яких n1 ≤ 5 & N > 5; |
n2 = 5 – n1. |
Далі проводиться відбір підприємств, як викладено вище.
Додаток В
Блок-схема побудови плану вибірки


Додаток Г
Приклад визначення основи вибірки для структурного обстеження малих підприємств
за даними 2009 року
Таблиця Г.1
Основа вибірки структурного обстеження малих підприємств
|
Підсукупність |
Кількість підприємств, од. |
|
Підприємства тих видів економічної діяльності, які обстежують суцільно |
2259 |
|
Нульові підприємства |
18215 |
|
Новостворені підприємства |
103412 |
|
Активні ненульові підприємства |
278261 |
Додаток Д
Приклад виявлення нетипових підприємств
Для прикладу розглянемо страту з номером 113. Вона містить підприємства, які відносять до 01 групи за КВЕД та належать до першої регіональної групи. Це підприємства сільського господарства, тваринництва та пов’язаних із ними послуги. Підприємства відсортовують за обсягом реалізованої продукції (табл. Д.1).
Таблиця Д.1
Обсяг реалізованої продукції (робіт, послуг)
для фрагменту підприємств зі страти 113
|
№№ з/п |
Обсяг реалізованої продукції (робіт, послуг), тис. грн. |
|
1 |
11879,7 |
|
2 |
10459,3 |
|
3 |
10009,0 |
|
4 |
9397,1 |
|
5 |
5938,8 |
|
6 |
5620,4 |
|
7 |
5428,0 |
|
8 |
4934,8 |
|
9 |
4760,0 |
|
10 |
4571,2 |
Порахувавши основні статистичні показники за обсягом реалізованої продукції малих підприємств цієї страти, отримали такі їхні значення (табл. Д.2).
Таблиця Д.2
Основні статистичні показники за стратою 113
|
Кількість підприємств |
Середнє |
Стандартне відхилення |
|
429 |
1176,68 |
1311,7 |
Підприємства цієї страти відсортовують за зростанням обсягу реалізованої продукції. Далі виявляють підприємства, значення обсягу реалізації яких не задовольняють умову 3.1 (табл. Д.3).
Таблиця Д.3
Результати перевірки умови нетиповості
за обсягом реалізованої продукції (робіт, послуг) для одиниць страти 113

Результати обчислень свідчать про те, що нетиповими підприємствами є підприємства з номерами 1−7.

Рис. Д.1. Гістограма розподілу малих підприємств за обсягами реалізованої продукції (робіт, послуг) у страті 113
Додаток Е
Приклад об’єднання страт
Для прикладу було обрано дві страти 9223 і 9224, коди яких різняться лише останньою цифрою, тобто їхні підприємства належать до одного виду економічної діяльності та однієї регіональної групи, але до різних груп за розміром підприємств. До цих страт відносять підприємства санітарних послуг, прибирання сміття та знищення відходів, які знаходяться в другій регіональній групі. Основні статистичні показники за цими стратами наведені у табл. Е.1.
Таблиця Е.1
Основні статистичні показники за стратами 9223 та 9224
|
Код страти |
Кількість підприємств, од. |
Середнє |
Стандартне відхилення |
|
9223 |
37 |
253,3 |
211,29 |
|
9224 |
12 |
187,6 |
193,7 |
Перевіримо, чи доцільно об’єднати ці дві страти. Використаємо t-критерій рівності середніх для незалежних вибірок.
Таблиця Е.2
Результати перевірки критерію рівності середніх для незалежних вибірок
|
Критерій рівності дисперсій Левена |
t-критерій рівності середніх |
||||||
|
F |
Значущість |
t |
Ступені вільності |
Значущість |
Різниця середніх |
95% довірчий інтервал для різниці середніх |
|
|
|
Нижня межа |
Верхня межа |
|||||
|
0,016 |
0,901 |
0,955 |
47 |
0,344 |
65,7 |
-72,85 |
204,58 |
Рівень значущості обрано 0,05. Для перевірки на рівність дисперсій використано тест Левена. Нульова гіпотеза в цьому випадку полягає в тому, що дисперсії в стратах 9223 і 9224 однакові. Статистика Фішера дорівнює 0,016. Досягнутий рівень значущості р=0,901. Оскільки 0,901>0,05, то зроблено висновок, що нульова гіпотеза приймається. За t-критерієм рівності середніх довірчий інтервал для різниці середніх із рівнем значущості 0,05 покриває число 0, тому зроблено висновок про однорідність середніх. Однак у цьому випадку інтервал доволі широкий, що робить його менш практичним, тому для наочності було використано статистику Стьюдента і перевірено потрапляння її в критичну область. Цю статистику визначають за формулою:

де: M1,
M2 — середні арифметичні за двома стратами; σ1,
σ2 – відповідні стандартні
відхилення, N1, N2 – розміри страт.
Кількість ступенів свободи -
.
При цьому t=0,675, а критична область: [yn+m-2,α;+∞], де yn+m-2,α – квантиль розподілу Стьюдента з рівнем значущості α та n+m-2 ступенями свободи.
У цьому випадку y47,0,05=1,6778, | t |=0,675<1,6778, тому приймаємо основну гіпотезу про рівність середніх. Звідси зроблено висновок, що страти 9223 та 9224 доцільно об’єднати.
Додаток Ж
Приклад обчислення загального обсягу вибірки для структурного обстеження малих підприємств за даними 2009 року
Таблиця Ж.1
Загальний обсяг вибірки за підсукупностями підприємств
|
Підсукупність |
Загальна кількість підприємств, од. |
Обсяг вибірки, од. |
Частка відбору, % |
|
Підприємства тих видів економічної діяльності, які обстежують суцільно |
2259 |
2259 |
100,0 |
|
Нетипові підприємства та малі страти |
5384 |
5384 |
100,0 |
|
Незначні підприємства |
18215 |
546 |
3,0 |
|
Новостворені підприємства |
103412 |
10341 |
10,0 |
|
Підприємства основної підсукупності |
272877 |
61899 |
22,7 |
|
Всього |
402147 |
80429 |
20,0 |
Додаток К
Приклад визначення резерву при обчисленні обсягу вибірки
для основної підсукупності за даними 2009 року

Додаток Л
Приклад обчислення обсягу вибірки за стратами із застосуванням розміщення Неймана за даними структурного обстеження малих підприємств за 2009 рік
Розглянемо для прикладу 10 страт. Показники, необхідні для обчислення обсягу вибірки за цими стратами, наведені в табл. З.1.
Таблиця Л.1
Основні показники за десятьма стратами
|
Номер страти |
Кількість одиниць,
|
Середньоквадратичне відхилення,
|
|
2651 |
138 |
228,62 |
|
2652 |
50 |
836,17 |
|
2653 |
52 |
1272,21 |
|
2654 |
55 |
4585,38 |
|
2661 |
126 |
292,95 |
|
2662 |
34 |
1104,41 |
|
2663 |
22 |
1453,94 |
|
2664 |
28 |
4419,59 |
|
2811 |
435 |
599,39 |
|
2812 |
179 |
913,49 |
Для знаходження обсягу вибірки зі страти використовували формулу 4.1. Обсяг вибірки n=55709 одиниць (після відкидання резерву згідно з додатком К). Тоді відповідні обсяги вибірок зі страт такі (табл.Л.2):
Таблиця Л.2
Розрахункова таблиця обсягів вибірки за стратами
з використанням розміщення Неймана
|
Номер страти |
Попарні добутки,
|
Обсяг вибірки,
|
|
2651 |
31548,96 |
4 |
|
2652 |
41808,60 |
6 |
|
2653 |
66155,04 |
9 |
|
2654 |
252195,82 |
33 |
|
2661 |
36911,98 |
5 |
|
2662 |
37550,11 |
5 |
|
2663 |
31986,77 |
4 |
|
2664 |
123748,52 |
16 |
|
2811 |
260736,91 |
35 |
|
2812 |
163514,49 |
22 |
|
Всього |
|
55709 |
Оскільки обсяги вибірок для страт 2651,
2652, 2653, 2661, 2662 та 2663 менше десяти одиниць, то доповнимо обсяги вибірок
із цих страт до 10 одиниць, взявши при цьому
27 елементів із резерву.
Додаток М
Приклад формування переліку одиниць для обстеження у конкретній страті
Наведемо приклад формування переліку одиниць для обстеження на основі конкретно вибраної страти. Для прикладу візьмемо страту з номером 2664, для якої проводились дослідження в попередньому прикладі. Страта містить підприємства з виробництва неметалевої мінеральної продукції, що знаходяться в шостій регіональній групі. У цій страті міститься 28 підприємств. У табл. М.1 наведено номери цих підприємств, впорядковані за основним видом економічної діяльності та за територіальною ознакою.
Таблиця М.1
Результати відбору одиниць для обстеження у страті 2664
|
№№ з/п |
Номер підприємства |
№№ з/п |
Код підприємства |
№№ з/п |
Код підприємства |
|
1 |
163326 |
11 |
114580 |
21 |
134460 |
|
2 |
204135 |
12 |
71827 |
22 |
45488 |
|
3 |
65798 |
13 |
190510 |
23 |
132400 |
|
4 |
167388 |
14 |
161818 |
24 |
23752 |
|
5 |
110775 |
15 |
47027 |
25 |
25611 |
|
6 |
79179 |
16 |
10123 |
26 |
139055 |
|
7 |
246969 |
17 |
65913 |
27 |
215968 |
|
8 |
28156 |
18 |
119422 |
28 |
132397 |
|
9 |
125898 |
19 |
128569 |
|
|
|
10 |
154874 |
20 |
78852 |
|
|
Обсяг вибірки з цієї страти за розміщенням Неймана становить 16 одиниць.
Виконано такі обчислення:



1(≈0,875), 3(≈2,625=1,75+0,875), 4(≈4,375=2,625+1,75), 6(≈6,125=4,375+1,75), 8(≈7,875=6,125+1,75), 10(≈9,625=7,875+01,75), 11(≈11,375=9,625+1,75), 13(≈13,125=11,375+1,75), 15(≈14,875=13,125+1,75), 17(≈16,625=14,875+1,75), 18(≈18,375=16,625+1,75), 20(≈20,125=18,375+1,75), 22(≈21,875=20,125+1,75), 24(≈23,625=21,875+1,75), 25(≈25,375=23,625+1,75), 27(≈27,125=25,375+1,75).
Таким чином, спочатку відбирали третє підприємство в таблиці, а далі підприємства автоматично потрапляли у вибірку з відповідним кроком 1,75. Відібрані підприємства виділені в табл. М.1 сірим кольором.